製図用のキャドデータやエクセルのグラフデータを加工・修正して印刷用のデジタルデータを作成します。
高品質のトレース・地図作成はトレースハウスへ
トレースハウスではあらゆる図版のトレースを承っております。
キャドデータの修正から地図・案内図の作成なども承っておりますので御気軽にご注文下さい。
下の項目をクリックするとその部門をご覧いただけます。
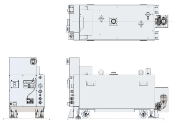
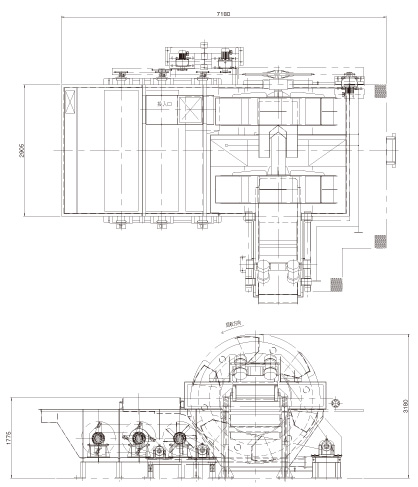
キャドデータの加工・修正サンプル
キャドデータの加工・修正サンプルです。
■ 料金1図 1,000円〜
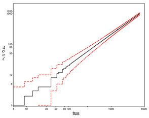
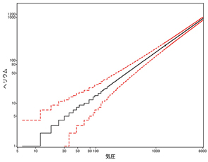
エクセルデータの加工・修正
エクセルのグラフデータの加工・修正例です。
■ 料金 1,000円〜
イラストレーターで出来ること(例03)
dxf拡張子の製図用キャドデータをイラストレーターで読み込むことができます。キャドデータはパスがバラバラのため、ある範囲の色をつけるためにはパスをつないでいくような作業が必要になります。
キャドデータ加工例
キャドデータのパスと文字を整形して真ん中のグラフ部分に色をつけました。
